CHAPITRE III
CONCEPTION DES AILES
Sommaire:
- INTRODUCTION
- CAHIER DES CHARGES
- DESSIN DE L’AILE
- MESURES
- PREMIERS ESSAIS DE DESSIN
- PENSONS FABRICATION
- PENSONS PERFORMANCE
- EFFILEMENT
- VALEURS DE REFERENCE
- CARACTÉRISTIQUES DE L’AILE
- PROFIL DE L’AILE
- UNE HISTOIRE DE REYNOLDS
- MON CHOIX
- PETIT CALCUL PRÉLIMINAIRE (Théorique)
- BIBLIOTHÈQUE DE PROFIL
- DESSINER UN PROFIL
_______________________________________________________________
III.1 INTRODUCTION
Le but de ce chapitre est de vous décrire toute la démarche que j’ai effectué pour réaliser les ailes. J’essayerai également de vous transmettre des connaissances techniques pour concevoir vos propres ailes, voir votre propre appareil. J’espère transmettre au mieux ce que j’ai pu acquérir dans cette aventure. Évidemment, il me reste plein de chose à apprendre. Je ne suis pas un expert dans le domaine et je vous invite donc à croiser plusieurs informations. Vous trouverez à la fin de cet exposé (de cette série d’article) une bibliographie qui m’a aidé à assimiler les connaissances nécessaires.
Ce chapitre va avoir un double rôle. Je vais le rédiger comme un compte rendu en vous justifiant tous les choix de conception retenu au niveau de l’aile. Il sera rédigé sous forme de tutoriel. Par la suite, dans la partie fabrication, je decrirai les méthodes que nous avons mises en place pour la réalisation à partir des plans obtenus. J’espère que vous prendrez goût comme moi je l’ai pris à la conception et à la fabrication.
Pour commencer à concevoir une aile, il est très important de se constituer un cahier des charges qui est fonction de l’utilisation et domaine de vol de l’appareil que l’on veut créer. On va donc commencer par la création d’une définition et essayant de faire une liste exhaustive des performances ou autres détails que l’on aimerait avoir.
III.2 CAHIER DES CHARGES
Certains détails de l’aile concernent aussi le fuselage. Il est donc normal que ces détails soient discutés/validés avec les autres membres de l’équipe. Je fais ainsi référence à la méthode de fixation de l’aile. Méthode qui peut aussi concerner le renfort de l’aile. Rappelons que l’aile sera faite en polystyrène. Un renfort est donc nécessaire. Ces divers points ont été discutés lors de notre première réunion.
Pour la suite, nous allons tout simplement rappeler l’objectif de notre projet: Gagner en parcourant le plus de distance possible en plané. Dans ce cadre là, nous aurons donc besoin d’une aile qui répondent à ces conditions:
- Grand allongement (plus l’allongement est grand mieux ont tient en l’aire et plus on réduit les effets de la traîné induite)
- Faible charge alaire (plus la charge alaire est importante, plus le prototype ira et devra aller vite; inversement, plus la charge alaire est faible, plus il sera sensible au vent… il faut donc trouver le bon compromis pour que le modèle réduit parcours le plus de distance sans pour autant être trop sensible aux perturbations)
- Matériaux relativement solide, plus dense que le fuselage, pas trop souple (sinon la force de Portance sera en grande partie absorbée par la souplesse de l’aile)
- Doit posséder un dièdre (sinon pas de contrôle possible en deux axes, et instabilité de vol); on y reviendra
- Doit posséder une incidence de calage (sans ça, pas de fonctionnement possible; mais on y reviendra également)
- Profil adapté à l’usage que l’on veut en faire –le plus de plané–
- aile trapézoïdale
Les divers points seront tous expliqués plus loin dans ce chapitre. Je vous détaillerai le pourquoi!
Le profil de l’aile… ce qui fait tout l’aile. A savoir, qu’on ne pourra pas avoir une précision parfaite. En effet, il faut prendre en compte que cela reste de l’amateurisme et que beaucoup de défauts liés à la construction se feront sentir (surface de la matière, précision de coupe…). Mais, l’objectif est d’avoir un rendu le plus proche de la théorie.
Mon niveau d’étude ne me permet pas de concevoir un profil… et ça ne servirait strictement à rien bien que cela soit très intéressant. Mais alors comment ai-je « conçu » le profil? Avant de répondre à cette question, regardons comment j’ai dessiné mon aile et ce qui a guidé mes différents choix.
III.3 LE DESSIN DE L’AILE
III.3.1 MESURES
Lorsque j’ai commencé, je ne savais rien… hors mis les connaissances de base liées à ma formation de pilote agrémentée par ma formation CAEA. Il fallait donc bien que je commence quelque part.
Que fait-on lorsqu’on ne connaît rien dans un domaine et que l’on doit y créer quelque chose? On étudie! Certes, mais on peut aussi regarder ce qui se fait déjà. C’est exactement ce que j’ai fait. Je suis allé mesurer sous tous les angles un modèle de planeur. J’y ai calculé les caractéristiques de l’aile ainsi mesurée: allongement, épaisseur, effilement, envergure, corde moyenne, corde maxi, corde mini… Par chance, j’ai mon voisin qui est aussi pilote (et un peu constructeur) d’aéromodèle. Il a pu me conseiller :).
III.3.2 PREMIERS ESSAIS DE DESSIN
Fort de ces valeurs, j’ai griffonné un plan d’aile. J’ai ensuite utilisé un logiciel où j’ai rentré mes valeurs (emplanture, saumon, longueur de la demi-aile). J’y ai estimé un poids total de 700g. J’ai ensuite ajusté l’envergure pour obtenir une charge alaire minimal. A ce moment là, c’était au feeling :p.
Un logiciel m’a ensuite calculé le foyer de l’aile, la charge alaire. Et il m’a dessiné un plan.
III.3.3 PENSONS FABRICATION
Il est important de noter que nous n’avons pas beaucoup de temps pour construire l’aile. Il faut donc trouver un compromis entre difficulté de fabrication et performance.
Si nous voulons une aile réellement performante, la forme de celle-ci doit être « multitrapézoïdale » avec les bouts de l’aile (appelés les « saumons ») quasiment parallèles avec le fuselage, tout en étant vrillé avec les bout qui remonte tout en s’effilant (les « Wigglets »). Des choses qui sont difficilement possibles de mettre en œuvre… surtout en restant en polystyrène. Gardons à l’esprit que lorsque le polystyrène est fin, il est très très fragile et cassant.
J’ai donc retenu à ce moment là le simple trapèze. Formé avec une différence de corde: 210mm à l’emplanture et 160mm au saumon. J’ai du changé ces valeurs par des valeurs plus importante. La finesse du profil au bord de fuite est telle qu’après usinage on se retrouvait avec une corde de 190mm à l’emplanture et de 140mm au saumon. L’épaisseur faisait aussi que l’aile était très fragile. J’ai donc retenu 260mm pour l’emplanture. La corde au niveau du saumon a ensuite été calculée… mais nous y reviendrons plus tard.
A ce stade, nous avons une aile trapézoïdale d’envergure 1,83m et de corde maxi 260mm.
III.3.4 PENSONS PERFORMANCE
III.3.4.1 EFFILEMENT
C’est bien beau tout ça, maintenant il faut penser performance. J’ai passé de longues heures devant mon PC à éplucher les méambres d’internet. Je vais vous épargner ces heures de recherche ET de lecture en vous communiquant les valeurs retenues.
Tout d’abord, l’effilement de l’aile doit être environ égal à 0,7 pour avoir un meilleur rendement. En prenant les premières valeurs de corde, nous obtenons… 0,7, magique n’est-il pas? Cela prouve que le planeur sur lequel j’ai pris les mesures a bien été construit (d’après les sites consultés).
Nous savons que notre emplanture mesure 260mm; on veut 0,7 d’effilement. A partir de là, on fait le produit et on obtient 182mm. Or cette valeur est un peu contraignante pour la construction. On retiendra plutôt 200mm; on aura ainsi une meilleure soliditée et on minimalisera les pertes dues à la coupe. Finalemment, nous avonc Cmax=260mm et Cmin=200mm.
III.3.4.2 VALEURS DE RÉFÉRENCE
Pour calculer la surface alaire, et le nombre de Reynolds –section suivante–, nous aurons besoin de la CAM. Cette corde est une corde qui divise le trapèze en deux sections d’égale surface. C’est également sur cette corde de référence qu’on calculera les 30% du foyer de l’aile. Sur cette corde se situera aussi le centre de gravité de l’aile. Je vais vous épargner la formule avec l’intégrale et passer directement à la formule développée et simplifiée:
- Ce: corde à l’emplanture ou corde maxi (en mm)
- Cs: corde au saumon ou corde mini (en mm)
- CAM: Corde de référence en mm
Avec les dimensions que j’ai retenues, nous avons la CAM = 231mm.
Ensuite, on aura besoin de connaître la distance D pour repérer la corde de référence par rapport à l’emplanture:
- [AB] le bord de fuite qui est droit
- [AC] l’emplanture
- [BD] le saumon
- [EF] la CAM, ou corde de référence
- [GC] la distance D
Nous aurons besoin de ce que l’on appelle la flèche de l’aile pour calculer D. Ici la flêche de l’aile est égale à la différence de la corde de l’emplanture par le saumon. Donc f = 60mm (||AC||-||BD||). Maintenant on applique la formule suivante:
avec:
- Ce: corde à l’emplanture ou corde maxi
- Cs: corde au saumon ou corde mini
- f: flèche de l’aile
A noter, ici l’emplanture et le saumon sont perpendiculaires au bord de fuite (ce qui ne sera pas forcement respecté lors de la fabrication). Un simple schéma à l’échelle et une règle permet de retrouver la valeur de D. Néanmoins, nous sommes tout de même obligés de passer par le calcul de CAM. Ici on obtient D = 28,8mm. Cette valeur sera importante par la suite pour la position de l’aile sur le fuselage.
Le logiciel a dessiné l’aile de telle sorte que le foyer de l’aile soit situé à 30% de la corde de référence. La ligne où se situe le foyer est donc perpendiculaire à la CAM et passe à 30% derrière le bord d’attaque. Le foyer se situe à 69mm derrière F du schéma au-dessus. Elle passe donc à 69+28,8 = 98mm derrière le bord d’attaque situé au niveau de l’emplanture. Cette valeur nous servira pour le positionnement de l’aile sur le fuselage.
III.3.4.3 CARACTÉRISTIQUES DE L’AILE
On a maintenant les dimensions de l’aile. Il nous reste plus qu’à effectuer les calculs pour déterminer l’allongement. Comme je vous l’avais déjà dit, j’ajustais déjà lors du dessin avec le logiciel, les valeurs de surface de l’aile et d’allongement pour avoir des valeurs optimisées. Ce même logiciel m’a donc effectué tous les calculs nécessaires. Les caractéristiques de l’aile théorique seraient les suivantes:
- λ = 8
- E = 1840 mm
- S = 42,32 dm²
- Charge alaire pour M=700g: 16,54g.dm-2
Mais cela nous empêche pas de rappeler les formules pour calculer ces valeurs. On a ainsi:
- l’allongement donné par la relation λ = E²/S (avec E l’envergure exprimé en dm et S la surface exprimé en dm²).
- l’envergure qui la distance séparant les deux extrémités d’aile. On l’exprime généralement en mm.
- la surface qui est donnée par la relation S = CAM*E (CAM exprimé en dm, E exprimé en dm)
- Charge alaire qui est le quotient de la masse par la surface alaire de référence (celle des ailes).
Notre modèle aura certainement une masse inférieur à 700g (environ 500g), on sera peut être obligé de le charger un peu. Mais ça, ça sera les réglages et les essais en vol qui nous le dirons.
III.4 PROFIL DE L’AILE
III.4.1 UNE HISTOIRE DE REYNOLDS
Pour la petite anecdote, le profile de l’aile c’est ce qui fait la différence entre les petits modèles et les avions échelles 1. Admettons que vous êtes fans d’avion, et que vous pratiquez l’aéromodélisme. Vous vous dites « tient, j’aimerai bien me faire mon avion« . Et là vous pensez « Le Spitfire est un avion qui vole, non?! Je vais donc juste prendre les plans de cet appareil échelle 1 et les mettre dans une plus petite échelle… j’aurai ainsi mon appareil« . Déjà, il vous faut vous procurer les plans du Spitfire. Ensuite, le fabriquer et là, enfin le tester. Seulement là surprise, votre avion se crashera; ou au mieux ne décollera pas du tout. Je dis au mieux, car passer une année, voir plusieurs années à le construire et seulement 5 minutes pour le détruire peut être très rageant. Il est préférable dans ce cas là qu’il ne décolle pas du tout, vous pourrez ainsi l’accrocher au plafond de la chambre de votre fils :D.
A première vue, vous vous dites que vous vous êtes trompés dans la construction? Mauvais centrage? Trop lourds? Plein de questions viennent dans votre caboche. NON! Vous en êtes certains; et s’est avéré: votre construction est la plus parfaite, la plus fidèle possible au plan… mais à l’échelle 1/6.
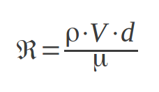
Le problème ne vient pas de vous… mais des plans eux même. Enfin plus précisément du profil de l’aile. En effet, chaque profil est étudié pour un nombre de Reynolds donné1. Il faut savoir que les avions échelle 1:1 « ont » des nombres de Reynolds aux alentours de 1’000’000. Vérifions:
On prends Re pour Reynolds, Re est donné par la relation:
- ρ: masse volumique (Kg.m-3)
- V: vitesse (m.s-1)
- d: distance du bord d’attaque du point considéré, ici longueur de la corde (en m)
- μ: viscosité dynamique (Pa.s)
On prends un avion quelconque de taille réelle. Il aura la longueur de la corde d’environ d=60cm. Nous allons prendre sa vitesse minimale de sustentation comme vitesse de référence. C’est à dire la vitesse de décrochage arrondit à la valeur supérieur (car au décrochage, par définition, l’avion ne vole plus). Donc pour un petit avion d’aéro-club, la vitesse de décrochage se situe aux alentours de 92 km.h-1. On va prendre V=97,2 km.h-1. On appele K le quotient de ρ par μ. En effet, on considère que l’on reste en basse altitude. ρ=1,22 kg.m-3 pris dans les conditions standards de l’atmosphère [air sec, 15°C, 1013hPa] et μ =1,8.10-5 valeur pour l’air sec. Le quotient de ces deux « constantes » nous donne la constante K = 67777,78.
En faisant attention aux unités on obtient:
Re = 27×0,6×67777,78Re = 1 098 000
On estime la vitesse d’évolution de la maquette 1:6 à 15 km.h-1. La maquette étant à l’échelle 1:6, on a également une corde d’environ 10 cm. Reynolds nous dit:
Re = 28 263
Un profil d’aile à une courbe de performance qui est en fonction du nombre de Reynolds. Il est calculé pour fonctionner dans une plage de valeur. Ce nombre est trop faible, le profil qui fonctionnait à l’échelle 1 ne fonctionnera pas à l’échelle 1:6. En fait il faudrait compenser la réduction de taille par une augmentation de vitesse. Toutes proportions gardées, il faudrait faire voler le modèle à 583 km.h-1. Cela reste de la théorie, car ensuite intervient, par ce changement de vitesse, des modifications de comportement de l’air. Le profil n’aura donc encore pas forcement le même comportement (traîné d’onde et autres phénomènes vont apparaître…).
En fait, pour faire voler ce modèle, il nous reste à jouer sur ce nombre de Reynolds en modifiant la densité de l’air. Il faudrait faire voler l’appareil dans un air plus dense (beaucoup plus dense :D) pour réussir à avoir le même nombre de Reynolds: solution tarabiscotée (possible en soufflerie en jouant sur la pression). Bref, il nous reste à jouer sur d ou/et sur V.
Tout ça pour dire qu’on ne peut pas prendre bêtement les plans d’un avion et le mettre à une plus petite échelle. Comme je vous l’ai dit précédemment, je ne me suis pas amusé à recalculer/refaire un profil répondant à mon besoin. Pour cela il existe une énorme bibliothèque de profil. J’ai essayé de prendre le plus optimisé pour notre utilisation.
III.4.2 MON CHOIX
III.4.2.1 PETIT CALCUL PRÉLIMINAIRE (la théorie)
Les profils sont étudiés pour une certaine fenêtre de valeur de Reynolds. La première étape consiste donc à calculer de manière très théorique ce nombre… juste pour avoir un ordre d’idée.
Dans cette étape va intervenir la corde d du profil. J’ai pris la CAM de mon aile que l’on a vue dans la section précédente, c’est à dire 231mm. J’ai dit que la vitesse théorique d’évolution se situait entre 10 km.h-1 < V < 20 km.h-1. On pourrait prendre la valeur médiane 15 km.h-1. Mais j’ai préféré garder un encadrement.
Dans le chapitre précédent, je vous ai donné la formule du nombre de Reynolds. A savoir, celle qui est utilisée dans l’aéromodélisme est une formule simplifiée qui donne une estimation. Elle est donnée par:
Re = 20.CCAM.V
avec:
- V en km.h-1
- CCAM en mm
46 200 (43 491) < Re < 92 400 (86 981)
Entre parenthèse, ce sont les valeurs obtenues avec la première formule.
III.4.2.2 BIBLIOTHÈQUE DE PROFIL
Maintenant que l’on a une valeur très approximative du nombre de Reynolds, nous allons pouvoir choisir un profil dans la bibliothèque de profils. Une petite recherche sur internet m’a permis de trouver mon bonheur. Notamment sur ce site. A noter, le meilleur profil pour l’utilisation souhaitée est un profil mince de type 1914. Je ne l’ai pas trouvé; ce qui explique que je ne l’ai pas utilisé.
Mon choix de profil, d’après ce document s’est donc arrêté sur le SELIG 7012. Mais si vous trouvez le SELIG 3021, préféré le. On en apprend tous les jours, maintenant, si le temps me le permet et que je trouve un patron pour le 3021, j’essayerai de faire une aile avec celui-ci. En fait, d’après mes lectures, le 7012 est préférable pour optimiser la pénétration. Pour en savoir plus, je vous invite à lire et à poursuivre sur l’excellent site d’aéromodélisme: Technique Modélisme.
III.4.3 DESSINER UN PROFIL
Il n’est jamais très évident de dessiner un profil pour créer un Gabarit. Fort heureusement, il existe des logiciels qui dessinent à notre place. En fait, avec ce logiciel, on ouvre le profil que l’on souhaite dessiner (fichier faisant partie d’une grande bibliothèque de profil). C’est un logiciel payant mais somme tout très pratique. La version complète de ce logiciel est à l’essaie pour une période de 45 jours. Pour le télécharger, c’est ici.
Une fois ce logiciel en main, j’ai dessiné deux patrons: un pour l’emplanture et un autre pour le saumon. Je voulais une corde de 260mm pour l’un et de 200mm pour le deuxième. J’ai imprimé le tout.
On a maintenant le plan de notre aile ainsi que le dessin et le patron des profils. Il ne reste plus qu’à construire, fabriquer l’aile. Rendez vous donc au chapitre 5 qui traite de la fabrication de l’aéromodèle.
____________________________________________________________
1:D’autres paramètres sont pris en compte, je ne rentrerai pas dans le détail car d’une part, je risque de dire des bêtises, et d’autre part, je ne sais pas forcement expliquer en profondeur. Je simplifie, juste pour la démonstration.




Bonjour, merci pour cet article très instructif.
Serait-il possible de savoir quel logiciel est utilisé ?
Bonjour,
bien sur. De quel logiciel faites vous référence (quelle partie)? J’ai normalement mis les liens, mais j’ai pu en oublier. Dans ce cas, je ferai au mieux pour aider. Mais cet article a 5 ans, j’espère que je saurais vous retrouver les logiciels (dans le cas où j’ai oublié) et/ou que ces logiciels sont encore d’actualité).
Bonjour !
Je me présente, je suis un étudiant dans le domaine de l’aéronautique et j’ai un projet à mener en groupe comme vous l’avez fait pour la création d’un motoplaneur
Je voulais savoir si vous possédiez encore les plans de votre planeur car je n’arrive pas y accéder via les liens que vous avez mis.
Cela pourrait énormément nous aider pour notre projet.
Cordialement,
Ethan !
Bonjour,
malheureusement, à part le rapport que j’ai mis à disposition (il me semble), j’ai perdu les archives (DD qui a crashé).
Néanmoins, je n’avais pas de plan particulier. J’avais juste refait les ailes et j’explique la démarche sur le blog. Le fuselage, n’était qu’un bout de polystyrène taillé en forme de fuselage sans suivre de plan. C’était au jugé.